• 28.11.2025, 08:56
  • Registrieren
  • Anmelden
  • Sie sind nicht angemeldet.

 

m0p3d

Senior Member

Fermienergie [Physik] - Problem

Mittwoch, 8. September 2010, 23:58

Ich versuche jetzt schon mehrere Stunden mit allen Formeln die ich finden konnte folgende Aufgabe zu lösen:

Berechnen der Fermienergie für Cu Konzentration d. freien Elektronen 8,45x10^28 [1/m^3]

Se letztendlich habe ich folgende Formel gefunden E= 0,121h²/m x n^(2/3)

Da die Formel total simpel ist vermute ich mal ein Problem bei den Konstanten ich habe da eingesetzt

h=6,626 x 10^-34 Js
m=9,109 x 10^-31 kg

Dann habe ich versucht h und m als eV auszudrücken führt auch zu keiner Lösung......

Die Formel habe ich übrigens dort her : [img]http://books.google.de/books?id=Of7_28Tkcb8C&pg=PA881&lpg=PA881&dq=Fermienergie+von+kupfer+berechnen&source=bl&ots=MeofHVJTgt&sig=DOmnp7PxNSIJwlV37A-duXe8M3o&hl=de&ei=R_6HTPygLaaHOPDupaMO&sa=X&oi=book_result&ct=result&resnum=5&ved=0CCoQ6AEwBA#v=onepage&q=Fermienergie%20von%20kupfer%20berechnen&f=false[/img]

Außerdem hab ichs mit den Formel aus der Stöcker Formelsammlung versucht. Da diese ziemlich allgemein gehalten sind und in der Formel L [Breite des Potentialtopfes in m] eingesetzt werden muss weiss ich nicht weiter

Marvin42

Full Member

Donnerstag, 9. September 2010, 00:53

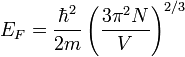
Die Formel ist auf jeden Fall .

Mit eingesetzten Konstanten und der Ladungsträgerkonzentration ergibt sich 1,125*10^-18 J entspricht 7,02225 eV. Sollte stimmen.

Dieser Beitrag wurde bereits 2 mal editiert, zuletzt von »Marvin42« (9. September 2010, 01:03)

Die Realität ist ein virtueller Zustand, der durch Alkoholmangel hervorgerufen wird.

m0p3d

Senior Member

Donnerstag, 9. September 2010, 18:36

Raffs immernochnich ......

in welchen Einheiten hast du h quer und m_e eingesetzt V=1 ?

MaGro

Full Member

Donnerstag, 9. September 2010, 19:05

h quer = 1,05257163e-34 [J*s]
m = 9,10938215e-31 [kg]
N/V = 8,45e28 [1/ m^3]

Das setzt du genauso in die Formel oben ein. Dann kommt raus 1,125e-18 J

Einheitenbetrachtung: [(J*s)^2/(kg)*(1/m^3)^(2/3) = (J^2*s^2)/(kg)*(1/m^2) = J
"Toleranz ist das unbehagliche Gefuehl, der Andere könnte am Ende vielleicht doch recht haben." Robert Forst

m0p3d

Senior Member

Donnerstag, 9. September 2010, 22:17

omg man sollte die Konstanten im dem Bereich schon genau einsetzten und nicht nur 3 Nachkommastellen ; )

Lev

God

Freitag, 10. September 2010, 00:14

ein taschenrechner mit fest gespeicherten naturkonstanten kann da wahre wunder bewirken...
"When mountains speak, wise men listen" - John Muir

Ähnliche Themen